


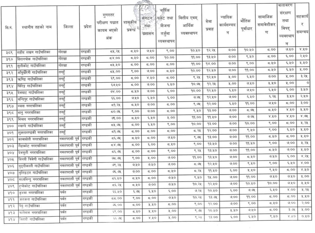
दमौली, ६ भदौ । संघीय मामिला तथा सामान्य प्रशासन मन्त्रालयको स्थानीय सरकार संस्थागत स्वमूल्यांकन (लिजा) मा तनहुँका १० स्थानीय तह मध्ये म्याग्दे गाउँपालिका प्रथम भएको छ
मन्त्रालयले शुक्रबार सार्वजनिक गरेको नतिजा अनुसाप म्याग्दे जिल्ला प्रथम भएको हो । म्याग्दे गाउँपालिकाले ८५.७५ अंक प्राप्त गरेको छ ।

यस्तै ऑबुखैरेनी दोस्रो भएको छ । ऑबुखैरेनीले ८५ अंक प्राप्त गरेको छ।
नतिजा अनुसार शुक्लागण्डकी नगरपालिका तेश्रो, व्यास नगरपालिका चौंथो, भानु नगरपालिका पाँचौ, भिमाद नगरपालिका छैंठौं, देवघाट गाउँपालिका सातौं, ऋषिङ गाउँपालिका आठौं, घिरिङ गाउँपालिका नवौं र बन्दीपुर गाउँपालिका दशौं स्थानमा रहेका छन् ।
