


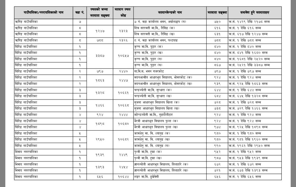
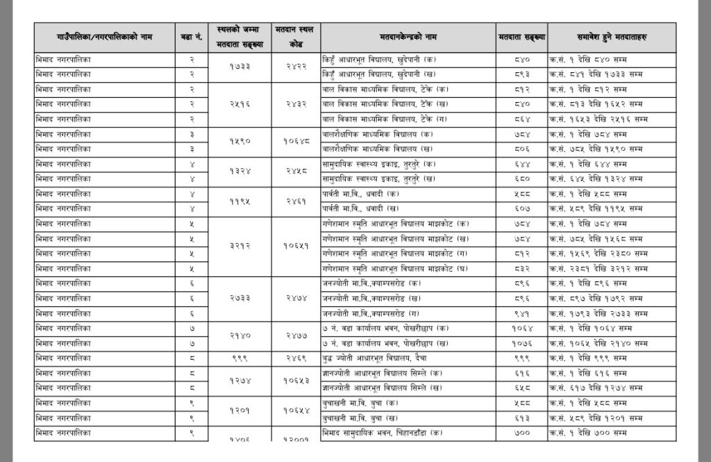
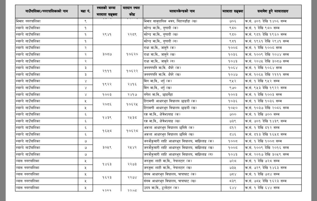
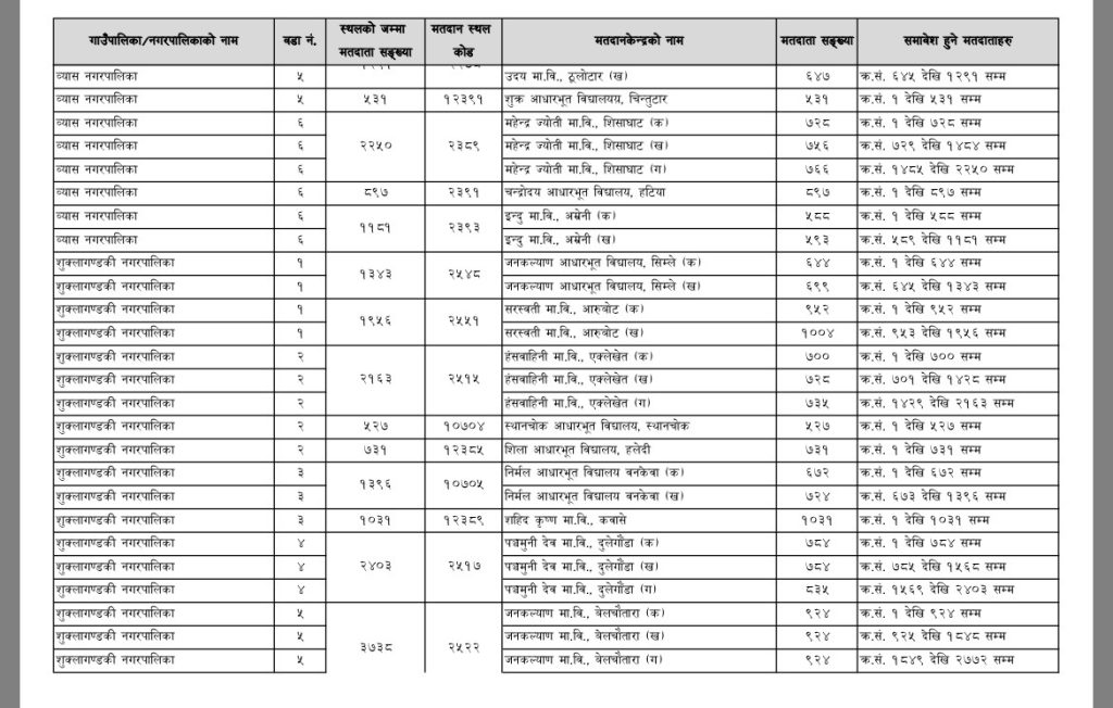
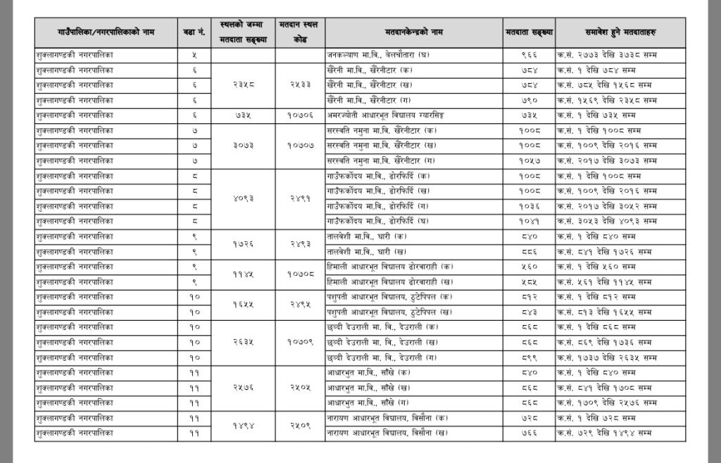
दमौली, १३ माघ ।फागुन २१ गते हुने प्रतिनिधि सभा सदस्य निर्वाचनका लागि तनहुँ-२ मा एक लाख २७ हजार पॉच सय १५ मतदाता छन् । यो क्षेत्रमा म्याग्दे गाउँपालिका, शुक्लागण्डकी नगरपालिका, भिमाद नगरपालिका, ऋषिङ गाउँपालिका, घिरिङ गाउँपालिका र व्यास नगरपालिका-५ र ६ समावेश छ ।
यस क्षेत्रमा १५६ मतदान केन्द्र रहेको छ ।






